IDRE Statistical Consulting Group
This seminar introduces the funtionality of R, with a focus on data analysis.
In this seminar we will learn:
R through RStudioR codingR graphical systemsR to share your data analysis with othersCoding instructions to help you learn
Rwill appear in boxes like this.
R as a programming environmentR is a programming environment for statistical computing and graphics.
R
S)These tools are distributed as packages, which any user can download to customize the R environment.
R?R has many advantages as data analysis software:
R also has a few disadvantages:
You can work directly in R, but most users prefer a graphical interface. We highly recommend using RStudio, an integrated development environment (IDE) that features:
You can input and execute commands directly in the console.
Output of commands will typically be displayed in the console.
The RStudio console features tab-code-completion and live help for function coding.
Type
rnointo theRStudioconsole, wait a second, and when a window withrnormappears, hit the Tab key.
Once you have the rnorm() function name completed, if the cursor is inside of (), RStudio will remind you of the the function’s arguments in a window . You can also hit the Tab key to see and issue the function argument names.
Place the cursor inside of
rnorm(). Hit the Tab key twice, and then type the number10. Hit Enter to execute the code.
You have just randomly generated 10 normally-distributed numbers.
Most R programs written for data analysis consists of many commands, making entering code line-by-line into the console inefficient.
Instead, we use the script editor to save our commands as a record of the steps we took to analyze our data. We can also issue R commands directly from the editor.
The script editor features the same tab-code-completion and function help as the console, as well as syntax highlighting.
If you do not see the script editor already open, open it now by selecting
File>New File>R Script.
Write the code
1 + 2in the script editor.
On the next line, type the codelog. When the tab-completion window appears with a list of possible commands, hit Tab to chooselog(). Enter 10 inside the().
To execute code directly from the script editor, place the cursor inside the command (or highlight the entire command), and then hit Ctrl-Enter (on PCs, use Command-Enter on Macs). This will advance the cursor to the next command, where you can hit Ctrl-Enter again to run it, advancing the cursor to the next command…
Execute the two commands in the script editor using the keyboard shortcuts.
Make sure to periodically save your scripts. Most R scripts are saved with the .R extension.
Save your R script with the name
mycode.R.
Unless otherwise specified, all coding instructions for this seminar should be entered into the script editor.
R stores both data and output from data analysis (as well as everything else) in objects.
Data are assigned to and stored in objects using the <- or = operator.
In the script editor, issue the code
x <- 5to create our first object.
Once you create an object, it should appear in the RStudio Environment pane.
To print the contents of an object to the console, specify the object’s name alone.
Specify and execute the code
xto view the contents ofxin the console.
R and RStudioThe RStudio Help menu contains links to many documents for help with both R (select R Help) and RStudio (see RStudio Docs and RStduio Community Forum).
We particularly like the Cheatsheets, which are compact documents crammed with useful information on how to use various products made by the RStudio group.
Open the cheatsheet for
RStudioby selecting theHelpmenu ->Cheatsheets->RStudio IDE Cheat Sheet. Note the cheatsheet will usually be downloaded in a web browser as a .pdf.
R packagesR and packagesBase R and most R packages are available for download from the Comprehensive R Archive Network (CRAN)
R comes with a number of basic data management, analysis, and graphical toolsR’s power and flexibility lie in its array of packages (currently more than 15,000 on CRAN!)To use packages in R, we must first install them using the install.packages() function, which typically downloads the package from CRAN and installs it for use.
Use the argument dependencies=TRUE to load all other packages required by the targeted package.
# uncomment (remove ##) to run
install.packages("dplyr", dependencies=TRUE)
install.packages("ggplot2", dependencies=TRUE)
install.packages("rmarkdown", dependencies=TRUE)
install.packages("shiny", dependencies=TRUE)If you have not installed them already, please install
dplyr,ggplot2,rmarkdown, andshinywith the necessary dependencies.
After installing a package, we can load it into the R environment using the library() or require() functions, which more or less do the same thing.
Functions and data structures within the package will then be available for use.
Load the package
dplyrinto your session now withlibrary().
Many packages include vignettes – longer, tutorial style guides for a package.
To see a list of available vignettes for the packages that are loaded, use vignette() with no arguments. Then to view a vignette, place its name inside vignette():
View the “Introduction to dplyr” vignette by issuing the command
vignette("dplyr").
Remember that we assign data to objects with <- or =.
Character data (i.e. strings) are surrounded by " or '.
In the script editor, create an object named
aand assign it the character string “hello”.
Commands are separated either by a ; or by a newline.
R is case sensitive.
The # character at the beginning of a line signifies a comment, which is not executed.
On the next line, create an object named
b, assign it the logarithm of 10 (using thelog()function), but put a#at the beginning of the line. What happens when you try to execute this line?
Commands can extend beyond one line of text. Put operators like + at the end of lines for multi-line commands.
Functions perform most of the work on data in R.
Functions in R are much the same as they are in math – they perform some operation on an input and return some output. For example, the mathematical function \(f(x) = x^2\), takes an input \(x\), and returns its square. Similarly, the mean() function in R takes a vector of numbers and returns its mean.
The inputs to functions are often referred to as arguments.
Help files for R functions are accessed by preceding the name of the function with ?.
Try opening the help file for
log()with the code?log.
In the help file, we will find the following useful sections:
Values for arguments to functions can be specified either by name or position.
For log(), we see the first argument is x, the number whose log we want to take, and the second is base, the base of the logarithm.
# specifying arguments by name
log(x=100, base=10)
## [1] 2
# specifying arguments by position
log(8, 2)
## [1] 3In the help file Usage section, if something is specified after an argument’s name and =, it is the default value.
In the log() help file, we see that the default value for base is exp(1), or \(e\), making log() a natural logarithm function by default.
Vectors, the fundamental data structure in R, are one-dimensional and homogeneous.
A single variable can usually be represented by one of the following vector data types:
Fig 2.1. Integer, character, double, and logical vector
A single value is a vector of length one in R.
The c() function combines values of common type together to form a vector.
# create a vector
first_vec <- c(1, 3, 5)
first_vec
## [1] 1 3 5
# length() returns the number of elements
char_vec <- c("these", "are", "some", "words")
length(char_vec)
## [1] 4
# the result of this comparison is a logical vector
first_vec > c(2, 2, 2)
## [1] FALSE TRUE TRUETo create vectors with a predictable sequence of elements, use rep() for repeating elements and seq() for sequential elements.
The expression m:n will generate a vector of integers from m to n
# first argument to rep is what to repeate
# the second argument is number of repetitions
rep(0, times=3)
## [1] 0 0 0
rep("abc", 4)
## [1] "abc" "abc" "abc" "abc"
# arguments for seq are from, to, by
seq(from=1, to=5, by=2)
## [1] 1 3 5
seq(10, 0, -5)
## [1] 10 5 0
# colon operator
3:7
## [1] 3 4 5 6 7
# you can nest functions
rep(seq(1,3,1), times=2)
## [1] 1 2 3 1 2 3Create the vector (4,5,6) in three different ways using
c(),seq(), and the:operator.
Try creating the vector (2,2,1,1) in at least two different ways.
Elements of a vector can be accessed or subset by specifying a vector of numbers (of length 1 or greater) inside [].
# create a vector 10 to 1
# putting () around a command will cause the result to be printed
(a <- seq(10,1,-1))
## [1] 10 9 8 7 6 5 4 3 2 1
# second element
a[2]
## [1] 9
# first 5 elements
a[seq(1,5)]
## [1] 10 9 8 7 6
# first, third, and fourth elements
a[c(1,3,4)]
## [1] 10 8 7Create the vector
yas the integers counting down from 10 to 1. Extract the second, fifth, and seventh element of this vectory.
Vectors elements can also be subset with a logical (TRUE/FALSE) vector, known as logical subsetting.
This allows us to subset a vector by checking if a condition is satisifed:
# this returns a logical vector...
scores < 30
## [1] FALSE TRUE FALSE TRUE
# ...that we can now use to subset
scores[scores<30]
## [1] 24 10Use conditional selection to find the numbers in
y(integers from 10 to 1) that when multiplied by 2, the result is greater than 15.
R works most easily with datasets stored as text files. Typically, values in text files are separated, or delimited, by tabs or spaces:
gender id race ses schtyp prgtype read write math science socst 0 70 4 1 1 general 57 52 41 47 57 1 121 4 2 1 vocati 68 59 53 63 31 0 86 4 3 1 general 44 33 54 58 31 0 141 4 3 1 vocati 63 44 47 53 56or by commas (CSV file):
gender,id,race,ses,schtyp,prgtype,read,write,math,science,socst 0,70,4,1,1,general,57,52,41,47,57 1,121,4,2,1,vocati,68,59,53,63,61 0,86,4,3,1,general,44,33,54,58,31 0,141,4,3,1,vocati,63,44,47,53,56
R provides several related functions to read data stored as files.
Use read.csv() to read in data stored as CSV and read.delim() to read in text data delimited by other characters (such as tabs or spaces).
For read.delim(), specify the delimiter in the sep= argument.
Both read.csv() and read.delim() assume the first row of the text file is a row of variable names. If this is not true, use the argument header=FALSE.
Although we are retrieving files over the internet for this class, these functions are typically used for files saved to disk.
Note how we are assigning the loaded data to objects.
# basic syntax of read.csv, not run
data <- read.csv("/path/to/file.csv")
# specification for tab-delimited file
dat.tab <- read.delim("/path/to/file.txt", sep="\t")Create a dataset called
dat_csvby loading a dataset from our server at this address: https://stats.idre.ucla.edu/stat/data/hsbraw.csv .
We can export our data to a .csv file with write.csv().
If you need to save multiple objects from your session, you can save whatever objects you need with save(), which creates a binary .Rdata file, which can loaded for later use with load().
We did not specify realistic pathnames below.
Packages to read and write data in other software formats:
readxl : Excel fileshaven: Stata, SAS, and SPSSThe readr package contains updated versions of read.csv() and read.delim() (called read_csv() and read_delim()) that use modernized data structures
Data sets for statistical analysis are typically stored in data frames in R. The objects created by read.csv() and read.table() are data frames.
Data frames are rectangular, where the columns are variables and the rows are observations of those variables.
Data frame columns can be of different data types (some double, some character, etc.) – but they must be equal length
Real datasets usually combine variables of different types, so data frames are well suited for storage.
Fig 2.5. Data frame with 4 observations of 5 variables
View(), head() and tail()Use View() on a dataset to open a spreadsheet-style view of a dataset. In RStuido, clicking on a dataset in the Environment pane will View() it.
View the dataset
dat_csv.
For large data files, use head() and tail() to look at a specified number of rows at the begininning or end of a dataset, respectively.
# first 2 rows
head(dat_csv, 2)
## id female ses schtyp prog read write math science socst honors
## 1 45 female low public vocation 34 35 41 29 26 not enrolled
## 2 108 male middle public general 34 33 41 36 36 not enrolled
## awards cid
## 1 0 1
## 2 0 1# last 8 rows
tail(dat_csv, 8)
## id female ses schtyp prog read write math science socst
## 193 174 male middle private academic 68 59 71 66 56
## 194 95 male high public academic 73 60 71 61 71
## 195 61 female high public academic 76 63 60 -99 -99
## 196 100 female high public academic 63 65 71 69 71
## 197 143 male middle public vocation 63 63 75 72 66
## 198 68 male middle public academic 73 67 71 63 66
## 199 57 female middle public academic 71 65 72 66 56
## 200 132 male middle public academic 73 62 73 69 66
## honors awards cid
## 193 not enrolled 2 20
## 194 enrolled 2 20
## 195 enrolled 4 20
## 196 -99 20
## 197 enrolled 4 20
## 198 enrolled 7 20
## 199 enrolled 5 20
## 200 enrolled 3 20With a two-dimensional structure, data frames can be subset with matrix notation [rows, columns].
Use vectors to subset multiple rows/columns.
Omitting rows or columns specifies all rows and columns, respectively.
# use data.frame() to create a data frame manually
mydata <- data.frame(patient=c("Smith", "Jones", "Williams"),
height=c(72, 61, 66),
diabetic=c(TRUE, FALSE, FALSE))
# row 3 column 2
mydata[3,2]
## [1] 66
# first two rows of column height
mydata[1:2, "height"]
## [1] 72 61
# all rows of column diabetic
mydata[,"diabetic"]
## [1] TRUE FALSE FALSEExtract the 2nd, 5th, and 10th rows of the variable
mathin thedat_csvdata set.
Variables, or columns, of a data frame can be selected with the $ operator, and the resulting object is a vector.
We can further subset elements of the selected column vector using [].
# subsetting creates a numeric vector
mydata$height
## [1] 72 61 66
# just the second and third elements
mydata$height[2:3]
## [1] 61 66Extract the 2nd, 5th, and 10th rows of the variable
mathin thedat_csvdata set using the$operator
colnames(data_frame) returns the column names of data_frame (or matrix).
colnames(data_frame) <- c("some", "names") assigns column names to data_frame.
# get column names
colnames(mydata)
## [1] "patient" "height" "diabetic"
# assign column names (capitalizing them)
colnames(mydata) <- c("Patient", "Height", "Diabetic")
colnames(mydata)
## [1] "Patient" "Height" "Diabetic"
# to change one variable name, just use vector indexing
colnames(mydata)[3] <- "Diabetes"
colnames(mydata)
## [1] "Patient" "Height" "Diabetes"Use dim() on two-dimensional objects to get the number of rows and columns.
Use str(), to see the structure of the object, including its class and the data types of elements. We also see the first few rows of each variable.
# number of rows and columns
dim(mydata)
## [1] 3 3
#d is of class "data.frame"
#all of its variables are of type "integer"
str(mydata)
## 'data.frame': 3 obs. of 3 variables:
## $ Patient : chr "Smith" "Jones" "Williams"
## $ Height : num 72 61 66
## $ Diabetes: logi TRUE FALSE FALSEExamine the structure of
dat_csvwithstr().
You can add variables to data frames by declaring them to be column variables of the data frame as they are created.
Trying to add a column of the wrong length will result in an error.
# this will add a column variable called logwrite to d
mydata$logHeight <- log(mydata$Height)
# now we see logwrite as a column in d
colnames(mydata)
## [1] "Patient" "Height" "Diabetes" "logHeight"
# d has 200 rows, and the rep vector has 300
mydata$z <- rep(0, 5)
## Error in `$<-.data.frame`(`*tmp*`, z, value = c(0, 0, 0, 0, 0)): replacement has 5 rows, data has 3Here are some useful functions to create variables from existing variables:
log(): logarithmmin_rank(): rank valuescut(): cut a continuous variable into intervals with new integer value signifying into which interval original value fallsscale(): standardizes variable (substracts mean and divides by standard deviation)lag(), lead(): lag and lead a variablecumsum(): cumulative sumrowMeans(), rowSums(): means and sums of several columnsCreate a data set called
test3that is all rows of the 3 column variablesmath,read, andwritefromdat_csv.
Add a variable to
test3calledtest_meanthat is the mean of the variablesmath,read, andwrite. Specify the data.frametest3as the only argument torowMeans().
Use
head()to look at the first 5 rows oftest3.
Taking the time to prepare your data before analysis can save you frustration and time spent cleaning up errors:
The package dplyr contains several easy-to-use data management functions that we will learn to use to manage our data.
If you have not already, load
dplyrinto the current session withlibrary().
filter()The dplyr function filter() will subset the rows (observations) of a data frame according to some condition (e.g. all rows where a column value is greater than x, all rows where a column value is equal to y).
# creating some data manually
dog_data <- data.frame(id = c("Duke", "Lucy", "Buddy", "Daisy", "Bear", "Stella"),
weight = c(25, 12, 58, 67, 33, 9),
sex=c("M", "F", "M", "F", "M", "F"),
location=c("north", "west", "north", "south", "west", "west"))
# dogs weighing more than 40
filter(dog_data, weight > 40)
## id weight sex location
## 1 Buddy 58 M north
## 2 Daisy 67 F south
# female dogs in the north or south locations
filter(dog_data, (location == "north" | location == "south") & sex == "F")
## id weight sex location
## 1 Daisy 67 F southCreate a data set from
dat_csvcalledlow_readthat contains observations where thereadscore is less than or equal to 50.
Create a data set from
dat_csvcalledmid_readthat contains observations where thereadscore is greater than 50 but also less than or equal to 60.
Often, datasets come with many more variable than we want. We can use the dplyr function select() to keep only the variables we need.
# select 2 variables
select(dog_data, id, sex)
## id sex
## 1 Duke M
## 2 Lucy F
## 3 Buddy M
## 4 Daisy F
## 5 Bear M
## 6 Stella FUse - to unselect (select out) columns.
# select everything BUT id and sex
select(dog_data, -c(id, sex))
## weight location
## 1 25 north
## 2 12 west
## 3 58 north
## 4 67 south
## 5 33 west
## 6 9 westCreate a data set called
high_read_inthat is just theidandreadvariables for observations wherereadis greater than 60. Create another data set calledhigh_read_outthat is all of the other variables besidesread(includeidin both data sets) for the same observations withreadgreater than 60.
Sometimes we are given our dataset in parts, with observations spread over many files (collected by different researchers, for example). To create one dataset, we need to append the datasets together row-wise.
The function rbind() appends data frames together. The variables must be the same between datasets.
Here, we rbind() a new data set of dogs, more_dogs, to our current dog_data.
# make a data.frame of new dogs
more_dogs <- data.frame(id = c("Jack", "Luna"),
weight=c(38, -99),
sex=c("M", "F"),
location=c("east", "east"))
# make sure that data frames have the same columns
names(dog_data)
## [1] "id" "weight" "sex" "location"
names(more_dogs)
## [1] "id" "weight" "sex" "location"
# appended dataset combines rows
all_dogs <- rbind(dog_data, more_dogs)
all_dogs
## id weight sex location
## 1 Duke 25 M north
## 2 Lucy 12 F west
## 3 Buddy 58 M north
## 4 Daisy 67 F south
## 5 Bear 33 M west
## 6 Stella 9 F west
## 7 Jack 38 M east
## 8 Luna -99 F eastAppend
low_readandmid_readand call the resulting data setlow_and_mid_read. Check in theEnvironmentpane thatlow_and_mid_readhas the correct number of observations.
We often receive separate datasets with different variables (columns) that must be merged on a key variable.
Merging is an involved topic, with many different kinds of merges possible, depending on whether every observation in one dataset can be matched to an observation in the other dataset. Sometimes, you’ll want to keep observations in one dataset, even if it is not matched. Other times, you will not.
We will solely demonstrate merges where only matched observations are kept.
We will use the dplyr function inner_join() to perform the merge. The base R function merge() can be used for the same type of merge.
inner_join() will search both datasets for any variables with the same name, and will use those as matching variables. If you need to control which variables are used to match, use the by= argument.
# new dog variable
# matching variables do not have to be sorted
dog_vax <- data.frame(id = c("Luna", "Duke", "Buddy", "Stella", "Daisy", "Lucy", "Jack", "Bear"),
vaccinated = c(TRUE, TRUE, TRUE, TRUE, TRUE, FALSE, FALSE, FALSE))
# id appears in both datasets, so will be used to match observations
dogs <- inner_join(all_dogs, dog_vax)
## Joining, by = "id"
dogs
## id weight sex location vaccinated
## 1 Duke 25 M north TRUE
## 2 Lucy 12 F west FALSE
## 3 Buddy 58 M north TRUE
## 4 Daisy 67 F south TRUE
## 5 Bear 33 M west FALSE
## 6 Stella 9 F west TRUE
## 7 Jack 38 M east FALSE
## 8 Luna -99 F east TRUEMerge
high_read_inandhigh_read_outand call ithigh_read.
Appendhigh_readtolow_and_mid_readand call itall_read. Check in theEnvironmentpane thatall_readanddat_csvare the same size.
Missing values in R are represented by the reserved symbol NA (cannot be used for variable names).
Blank fields in a text file will generally be converted to NA when loaded into R.
Often, datasets use codes, such as impossible numeric values (e.g. -99) to denote missing values.
We can convert missing data codes like -99 in variables to NA with conditional selection.
In R, NA means “undefined”, so most operations involving an NA value will result in NA (as the result is “undefined”):
# a sum involving "undefined" is "undefined"
1 + 2 + NA
## [1] NA
# NA could be larger or smaller or equal to 2
c(1, 2, 3, NA) > 2
## [1] FALSE FALSE TRUE NA
# mean is undefined because of the presence of NA
dogs$weight
## [1] 25 12 58 67 33 9 38 NA
mean(dogs$weight)
## [1] NAHowever, many functions allow the argument na.rm (or soemthing similar) to be set to TRUE, which will first remove any NA values from the operation before calculating the result:
You cannot check for equality to NA because means “undefined”. It will always result in NA.
Use is.na() instead.
# one of the values is NA
x <- c(1, 2, NA)
# check for equality to NA using == is wrong
# RStudio may give you a warning about this (to use is.na() instead)
x == NA
## [1] NA NA NA
# this is correct
is.na(x)
## [1] FALSE FALSE TRUEIn
dat_csv, the variablesciencecontains -99 values to signify missing. How can you identify which rows have -99 values?
Convert all of these -99 values toNA.
Calculate the mean ofscienceignoring the missing values.
Common numeric summaries for continuous variables are the mean, median, and variance, obtained with mean(), median(), and var() (sd() for standard deviation), respectively.
summary() on a numeric vector provides the min, max, mean, median, and first and third quartiles (interquartile range).
# create a new bloodtest data set
bloodtest <- data.frame(id = 1:10,
gender = c("female", "male", "female", "female", "female", "male", "male", "female", "male", "female"),
hospital = c("CLH", "MH", "MH", "MH", "CLH", "MH", "MDH", "MDH", "CLH", "MH"),
doc_id = c(1, 1, 1, 2, 2, 2, 3, 3, 3, 3),
insured = c(0, 1, 1, 1, 0, 1, 1, 0, 1, 1),
age = c(23, 45, 37, 49, 51, 55, 56, 37, 26, 40),
test1 = c(47, 67, 41, 65, 60, 52, 68, 37, 44, 44),
test2 = c(46, 57, 47, 65, 62, 51 ,62 ,44 ,46, 61),
test3 = c(49, 73, 50, 64, 77, 57, 75, 55, 62, 55),
test4 = c(61, 61, 51, 71, 56, 57, 61, 46, 46, 46))
mean(bloodtest$age)
## [1] 41.9
median(bloodtest$age)
## [1] 42.5
var(bloodtest$age)
## [1] 130.5444
summary(bloodtest$test1)
## Min. 1st Qu. Median Mean 3rd Qu. Max.
## 37.00 44.00 49.50 52.50 63.75 68.00Correlations provide quick assessments of whether two continuous variables are linearly related to one another.
The cor() function estimates correlations. If supplied with 2 vectors, cor() will estimate a single correlation. If supplied a data frame with several variables, cor() will estimate a correlation matrix.
# just a single correlation
cor(bloodtest$test1, bloodtest$test2)
## [1] 0.7725677
# use dplyr select() to pull out just the test variables
scores <- select(bloodtest, test1, test2, test3, test4)
cor(scores)
## test1 test2 test3 test4
## test1 1.0000000 0.7725677 0.8174523 0.7959618
## test2 0.7725677 1.0000000 0.6691743 0.5298743
## test3 0.8174523 0.6691743 1.0000000 0.3612138
## test4 0.7959618 0.5298743 0.3612138 1.0000000Create a correlation table of the
dat_csvvariablesread,write,math,science, andsocst.
The statistics mean, median and variance cannot be calculated meaningfully for categorical variables (unless just 2 categories).
Instead, we often present frequency tables of the distribution of membership to each category.
Use table() to produce frequency tables.
Use prop.table() on the tables produced by table() (i.e. the output) to see the frequencies expressed as proportions.
Some of the categorical variables in this dataset are:
Two-way and multi-way frequency tables (crosstabs) are used to explore the relationships between categorical variables.
We can use table() and prop.table() again. Within prob.table(), use margin=1 for row proportions and margin=2 for column proportions. Omitting margin= will give proportions of the total.
# this time saving the freq table to an object
my2way <- table(bloodtest$gender, bloodtest$hospital)
# counts in each crossing of prog and ses
my2way
##
## CLH MDH MH
## female 2 1 3
## male 1 1 2
# row proportions,
# proportion of prog that falls into ses
prop.table(my2way, margin=1)
##
## CLH MDH MH
## female 0.3333333 0.1666667 0.5000000
## male 0.2500000 0.2500000 0.5000000
# columns proportions,
# proportion of ses that falls into prog
prop.table(my2way, margin=2)
##
## CLH MDH MH
## female 0.6666667 0.5000000 0.6000000
## male 0.3333333 0.5000000 0.4000000Determine the proportion of each socio-economic group (variable
ses) within each school type (variableschtyp) in thedat_csvdata set.
RThe stats package, loaded with base R, provides a wide array of commonly used statistical tools, including:
Even more tools are available in various downloadable packages.
We will be covering only tools available in stats in this seminar.
Chi-square tests are often used to test for association between two categorical variables. It tests whether the proportions of membership to categories of one variable are related to the proportion of membership to categories of another variable.
Use chisq.test() to perform the chi-square test of independence. Supply two categorical variables (can be numeric or character) as arguments.
Here we test whether hospital and being insured are independent.
# program and ses class appear to be associated
chisq.test(bloodtest$hospital, bloodtest$insured)
## Warning in chisq.test(bloodtest$hospital, bloodtest$insured): Chi-squared
## approximation may be incorrect
##
## Pearson's Chi-squared test
##
## data: bloodtest$hospital and bloodtest$insured
## X-squared = 4.4444, df = 2, p-value = 0.1084Because some of our expected cell sizes are less than 5, R warns us that the chi-squared test may not be close to exact.
Many of R statistical modeling functions use a common formula syntax. At its most basic:
y ~ a
Here y represents an outcome (DV) and a represents a predictor (IV, covariate)
We add more predictors to the model with +:
y ~ a + b
Interactions terms can be specified with : between the interacting variables:
y ~ a + b + a:b
A short-hand to request both the “main effects” and the interaction of 2 variables uses *. The following is equivalent to the formula immediately above:
y ~ a*b
Two sample t-tests model a simple relationship – that the mean of an outcome variable (assumed to be normally distributed) is associated with a two-group predictor variable.
Use t.test() with formula notation to perform an independent samples t-test of whether test1 score is associated with gender:
# formula notation for independent samples t-test
t.test(test1 ~ gender, data=bloodtest)
##
## Welch Two Sample t-test
##
## data: test1 by gender
## t = -1.1813, df = 6.2951, p-value = 0.2802
## alternative hypothesis: true difference in means is not equal to 0
## 95 percent confidence interval:
## -26.670132 9.170132
## sample estimates:
## mean in group female mean in group male
## 49.00 57.75Test1 score does not appear to differ between the genders.
Perform a t-test to determine whether
mathscores are different between genders (variablefemale) with data setdat_csv.
With a paired samples (dependent samples) t-test, we test whether the means of two possibly correlated variables are different.
Below we use t.test() to test whether the means of patients’ test1 and test3 scores tend to be different. For a paired test, do not use formula notation, but instead specify two vectors of equal length and paired=TRUE.
t.test(bloodtest$test1, bloodtest$test3, paired=TRUE)
##
## Paired t-test
##
## data: bloodtest$test1 and bloodtest$test3
## t = -4.3231, df = 9, p-value = 0.001925
## alternative hypothesis: true difference in means is not equal to 0
## 95 percent confidence interval:
## -14.014139 -4.385861
## sample estimates:
## mean of the differences
## -9.2The paired t-test suggests that test3 scores are significantly different from test1 scores.
Linear regression expands the simple predictor-outcome model of t-tests by allowing more predictors. These predictors be distribtued in any way (not just binary predictors).
The lm() function is used to fit linear regression models.
Numeric and character variable predictors are acceptable. Character variables are essentially treated as factors (categorical variables), where by default, a dummy (0/1) variable is entered into the model for each level except for the first.
Below we fit a model where we predict a patients’s test1 score from their age and gender, and store the model as an object.
Model objects, the output of regression model fitting functions like lm(), are usually too complex to examine directly, as they contain an abundance of diverse information related to the the fitted model.
Instead, we often use a set of extractor functions to pull out the desired information from a model object.
summary(): regression table of coefficients, standard errors, test statistics, and p-values, as well as overall model fit statisticscoef(): just model coefficientsresiduals(): residualspredict(): predictions based on fitted modelconfint(): confidence intervals for coefficientsThese functions will often (but not always) work with model objects fit with functions other than lm().
# summary produces regression table and model fit stats
summary(m1)
##
## Call:
## lm(formula = test1 ~ age + gender, data = bloodtest)
##
## Residuals:
## Min 1Q Median 3Q Max
## -11.646 -6.164 1.043 7.146 10.104
##
## Coefficients:
## Estimate Std. Error t value Pr(>|t|)
## (Intercept) 24.4871 11.7845 2.078 0.0763 .
## age 0.6206 0.2824 2.198 0.0639 .
## gendermale 5.0265 6.2477 0.805 0.4475
## ---
## Signif. codes: 0 '***' 0.001 '**' 0.01 '*' 0.05 '.' 0.1 ' ' 1
##
## Residual standard error: 9.316 on 7 degrees of freedom
## Multiple R-squared: 0.4981, Adjusted R-squared: 0.3547
## F-statistic: 3.474 on 2 and 7 DF, p-value: 0.08957Peform a linear regression of the outcome
readwith predictorsmath,female, andsesusingdat_csv. Call the model objectm1. Interpret your results.
# just the coefficients
coef(m1)
## (Intercept) age gendermale
## 24.4871383 0.6205788 5.0265273
# 95% confidence intervals
confint(m1)
## 2.5 % 97.5 %
## (Intercept) -3.37869862 52.352975
## age -0.04713382 1.288291
## gendermale -9.74700686 19.800062
# first 5 observed values, predicted values and residuals
# cbind() joins column vectors into a matrix
cbind(bloodtest$test1, predict(m1), residuals(m1))
## [,1] [,2] [,3]
## 1 47 38.76045 8.239550
## 2 67 57.43971 9.560289
## 3 41 47.44855 -6.448553
## 4 65 54.89550 10.104502
## 5 60 56.13666 3.863344
## 6 52 63.64550 -11.645498
## 7 68 64.26608 3.733923
## 8 37 47.44855 -10.448553
## 9 44 45.64871 -1.648714
## 10 44 49.31029 -5.310289When an object of class lm is supplied to anova(), an analysis of variance table of the fitted model is produced. The ANOVA partioning uses sequential sums of squares (Type I SS), so if other sums of squares are desired, see the Anova() function in the car package.
# ANOVA sequential sums of squares
anova(m1)
## Analysis of Variance Table
##
## Response: test1
## Df Sum Sq Mean Sq F value Pr(>F)
## age 1 546.77 546.77 6.2997 0.0404 *
## gender 1 56.18 56.18 0.6473 0.4475
## Residuals 7 607.55 86.79
## ---
## Signif. codes: 0 '***' 0.001 '**' 0.01 '*' 0.05 '.' 0.1 ' ' 1The anova() function is often used to conduct a likelihood ratio test, that compares the fit of nested models to the data. This test allows one to assess whether the addition of several predictors improves the fit of the model.
Simply specify two nested models to anova() to conduct the likelihood ratio test:
# fit another linear regression model, adding hosiptal as predictor (two parameters added to model):
m2 <- lm(test1 ~ age + gender + hospital, data=bloodtest)
# printing an lm object will list the coefficients only
anova(m2, m1)
## Analysis of Variance Table
##
## Model 1: test1 ~ age + gender + hospital
## Model 2: test1 ~ age + gender
## Res.Df RSS Df Sum of Sq F Pr(>F)
## 1 5 525.14
## 2 7 607.55 -2 -82.414 0.3923 0.6946Hospital does not appear to improve the fit of the model significantly, so we would typically choose m1, the more parsimoniuous model.
Use
anova()to determine whether adding predictorprog(requiring 2 parameters) significantly improves the fit over modelm1.
Supplying a model object to the generic plot() function will usually produce a set of regression diagnostics helpful for assessing the assumptions of the regression model.
For lm objects, we get the following plots:
Let’s take a look at these 4 plots for our model. They will not show any strong evidence that the linear regression model is inappropriate.
# plots all 4 plots at once (otherwise one at a time)
layout(matrix(c(1,2,3,4),2,2))
# 4 diagnostic plots
plot(m1)
Fig. 6.1. Linear regression diagnostic plots
Inspect the diagnostic plots model
m1.
Logistic regression models how variation in a binary outcome can be explained by a set of predictors.
We can model variation in non-normally distributed outcomes with generalized linear models.
We use glm() for generalized linear models, including logistic regression. Specify the distribution of the outcome in the family= argument. A link function can be specified within family=, but the canonical link function (e.g. link="logit" link for family=binomail) is used as the default, so is not necessary.
Here we model the probability of being insured as predicted by age. The glm() function will model the probability (odds) of insured=1.
# family=binomail uses link=logit by default
m_ins <- glm(insured ~ age, data=bloodtest, family=binomial)We use the same functions as in linear regression to extract information from our glm model object.
Using summary() on an object of class glm produces a table of regression coefficients again:
summary(m_ins)
##
## Call:
## glm(formula = insured ~ age, family = binomial, data = bloodtest)
##
## Deviance Residuals:
## Min 1Q Median 3Q Max
## -1.8364 -0.6739 0.6244 0.8312 1.1948
##
## Coefficients:
## Estimate Std. Error z value Pr(>|z|)
## (Intercept) -1.62402 2.75298 -0.590 0.555
## age 0.06089 0.06739 0.904 0.366
##
## (Dispersion parameter for binomial family taken to be 1)
##
## Null deviance: 12.217 on 9 degrees of freedom
## Residual deviance: 11.339 on 8 degrees of freedom
## AIC: 15.339
##
## Number of Fisher Scoring iterations: 4Odds ratios for logistic regression are obtained by exponentiating the coefficients and confidence intervals:
# ORs
exp(coef(m2))
## (Intercept) age gendermale hospitalMDH hospitalMH
## 7.879529e+09 2.177465e+00 1.241206e+02 1.387734e-04 2.267828e-03
# confidence intervals on ORs
exp(confint(m2))
## 2.5 % 97.5 %
## (Intercept) 1.843467e-05 3.367946e+24
## age 8.576561e-01 5.528270e+00
## gendermale 2.452115e-06 6.282708e+09
## hospitalMDH 3.162568e-16 6.089375e+07
## hospitalMH 5.916464e-13 8.692766e+06A huge number of statistically-related packages make R perhaps the most powerful and comprehensive statistical software currently available. See the following packages for common statistical analyses:
survival: survival analysisordinal: ordinal logistic regressionnnet: multinomial logistic regressionlme4, MCMCglmm: mixed (multilevel) analysislavaan: latent variable and structural equation modeling (SEM)survey: complex survey analysisMICE, amelia: multiple imputationboot: bootstrappingR graphicsBase R comes with several powerful graphical functions that give the user a great deal of control over the appearance of the graph.
The graphing functions most commonly used are:
plot(): scatter plotshist(): histogramsboxplot(): box plots (box-and-whisker)barplot(): bar plotsScatter plots visualize the covariation of two variables, both typically continuous.
Specify two variables to plot() to produce a scatter plot:
Fig 1. scatterplot of test1 vs test2
R makes it easy to vary the appearance of graphics by a grouping variable, but the grouping variable must be made into a factor first.
For example, we may want to color the dots by gender with col=:
# factors are categorical variables with numeric codes and string labels
bloodtest$gender <- factor(bloodtest$gender)
plot(bloodtest$test1, bloodtest$test2, col=bloodtest$gender)
Fig 2. test1 vs test2, colored by gender
We can change the plotting symbol with pch= (see ?pch for a list of plotting symbols):
Fig 3. new plotting symbols
Changing the axis labels and adding a title are easy with xlab=, ylab=, and main=:
plot(bloodtest$test1, bloodtest$test2,
col=bloodtest$gender,
pch=17,
xlab="Test 1",
ylab="Test 2",
main="Plot of Test1 vs Test2")
Fig 4. new titles
On the other hand, adding a legend to a plot() graph, requires some coding knowledge because you do have a lot of control over its appearance:
plot(bloodtest$test1, bloodtest$test2,
col=bloodtest$gender,
pch=17)
# specifies placement, labels, color, and symbol in legend box
legend("topleft", legend=levels(bloodtest$gender), col=c(1:2), pch=17)
Fig 5. legend
Create a scatter plot of
read(x-axis) vswrite(y-axis), using filled square symbols, colored by the variableprog.
Histograms display the distributions of continuous variables.
Fig 6. histogram
You can adjust the number of bins with the breaks= argument:
Fig 7. histogram with 2 breaks
Boxplots are often used to compare the distribution of a continuous variable across the levels of a categorical variable.
Use formula notation in boxplot() to specify boxplots of the variable on the left side of ~ by the variable on the right side.
Fig 8. boxplots of test2 by insured
The R plotting functions share many of the same arguments. Here we use xlab=, ylab=, and main= again to change the titles, and col= to change the fill color of the boxes.
boxplot(bloodtest$test2 ~ bloodtest$insured,
xlab="Insured",
ylab="Test 2",
main = "Boxplots of Test2 by Insurance Status",
col="lightblue")
Fig 9. boxplots new titles
One common use of bar plots is to visualize the frequencies of levels of grouping variables, where the height of the bar represents the number of observations falling into that grouping.
We can thus think of bar plots as graphical representations of frequency tables.
R makes this connection explicit by allowing the output of table() to be used as the input to barplot().
For example, let’s plot the frequencies of groupings made by the variables gender and hospital:
Fig 10. barplot of gender by hospital
Adding a legend to barplot() is easy (when you use a table as input) with argument legend.text=TRUE:
Fig 11. barplot with legend
Now let’s request side-by-side bars instead of stacked with beside=TRUE:.
We also use col= again to color the bars, but now we have 2 colors to specify, and change our titles as usual:
tab <- table(bloodtest$gender, bloodtest$hospital)
barplot(tab,
legend.text = TRUE,
beside=TRUE,
col=c("lawngreen", "sandybrown"),
xlab="Hospital",
ylab="Frequency",
main="Frequencies of gender by hospital")
Fig 12. barplot customized
Create a bar plot of
sesbyprogin the data setdat_csv. Use the colors red, green, and blue to color the bars. Add a legend.
ggplot2 for graphicsAlthough Base R graphics functions are powerful and can be used to make publication-quality graphics, they are mostly ideal for creating quick, exploratory graphs.
As we saw, adding a legend was somewhat difficult in plot(), and frankly, making the graphs much more complex than what we have shown becomes much more difficult quickly.
The package ggplot2 is a better alternative to create complex, layered, and publication-quality graphics.
ggplot2 uses a structured grammar of graphics that provides an intuitive framework for building graphics layer-by-layer, rather than memorizing lots of plotting commands and optionsggplot2 graphics take less work to make beautiful and eye-catching graphicsPlease load the
ggplot2package into your session now withlibrary().
ggplot2 plotThe basic specification for a ggplot2 plot is to specify which variables are mapped to which aspects of the graph (called aesthetics) and then to choose a shape (called a geom) to display on the graph.
Although the full syntax of ggplot2 is beyond the scope of this seminar, we can produce many plots with some variation of the following syntax:
ggplot(dataset, aes(x=xvar, y=yvar)) + geom_function()
(Note that the package is named ggplot2 while this function is called ggplot())
That syntax uses the data in dataset, puts xvar on the x-axis, yvar on the y-axis, and uses geom_function() to produce shapes for the graph. For example geom_point() will produce a scatter plot, while geom_boxplot() produces boxplots.
Inside aes(), we can map more variables to graphical aspects of the plot, such as the color, size and shape of plotted objects.
For a much more detailed explanation of the grammar of graphics underlying ggplot2, see our Introduction to ggplot2 seminar.
To demonstrate the graphing capabilities ggplot2 package, we will be using the dat_csv data set.
Here we specify a scatter plot of math vs write.
Fig 13. Basic ggplot scatter plot
We can add a layer that produces a best-fit regression line (and confidence interval) with geom_smooth().
# a scatterplot of math vs write with best fit line
ggplot(dat_csv, aes(x=math, y=write)) +
geom_point() +
geom_smooth(method="lm")
## `geom_smooth()` using formula 'y ~ x'
Fig 14. best fit line
With ggplot, it is easy to link the color, shape, and size of the symbols to a variable.
These aesthetic specifications are used for all geoms. Notice how color and fill will also group the data to produce separate plots.
Also notice that ggplot will insert legends for you by default.
# a scatterplot and best fit line, by gender
# color affects the best fit line, fill affects the confidence intervals
ggplot(dat_csv, aes(x=math, y=write, color=female, fill=female)) +
geom_point() +
geom_smooth(method="lm")
## `geom_smooth()` using formula 'y ~ x'
Fig 15. colored by female
Finally, we can easily make a panel of graphs with the function facet_wrap. Here we create separate plots for each program.
# panel of scatterplot and best fit line, colored by gender, paneled by prog
ggplot(dat_csv, aes(x=math, y=write, color=female, fill=female)) +
geom_point() +
geom_smooth(method="lm") +
facet_wrap(~prog)
## `geom_smooth()` using formula 'y ~ x'
Fig 16. paneled by prog
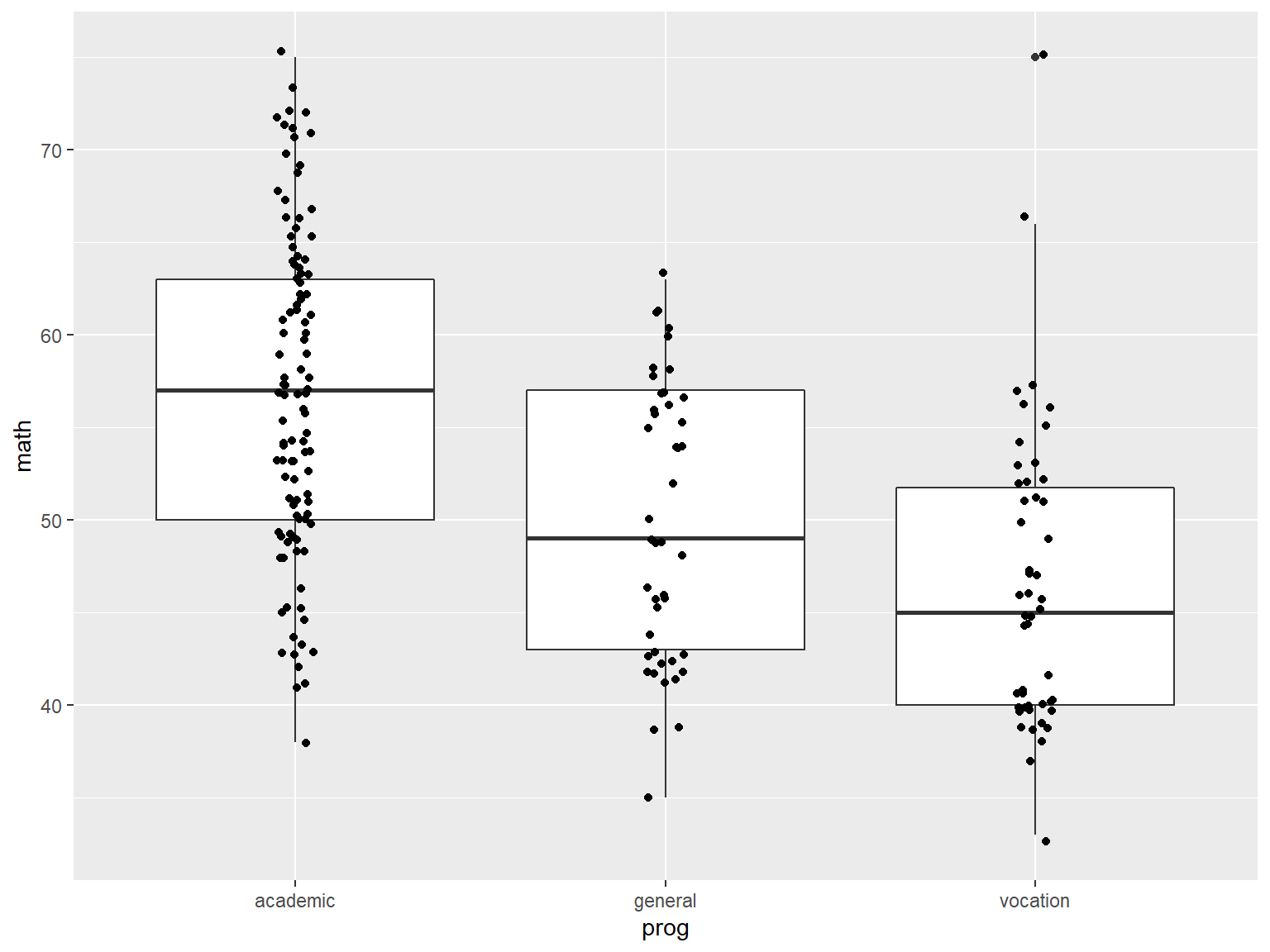
For example 2 of ggplot2 functionality, we start with boxplots of math by prog:
Fig 18a. Starting boxplots
Next we add a layer of jittered data points with geom_jitter() so we can see the actual data (jittering adds a small amount of random variation to the data so that overlapping points will separate):
# boxplots of math by prog, with jittered data points
ggplot(data=dat_csv, aes(x=prog, y=math)) +
geom_boxplot() +
geom_jitter(width=.05)
Fig 18b. Adding jittered data
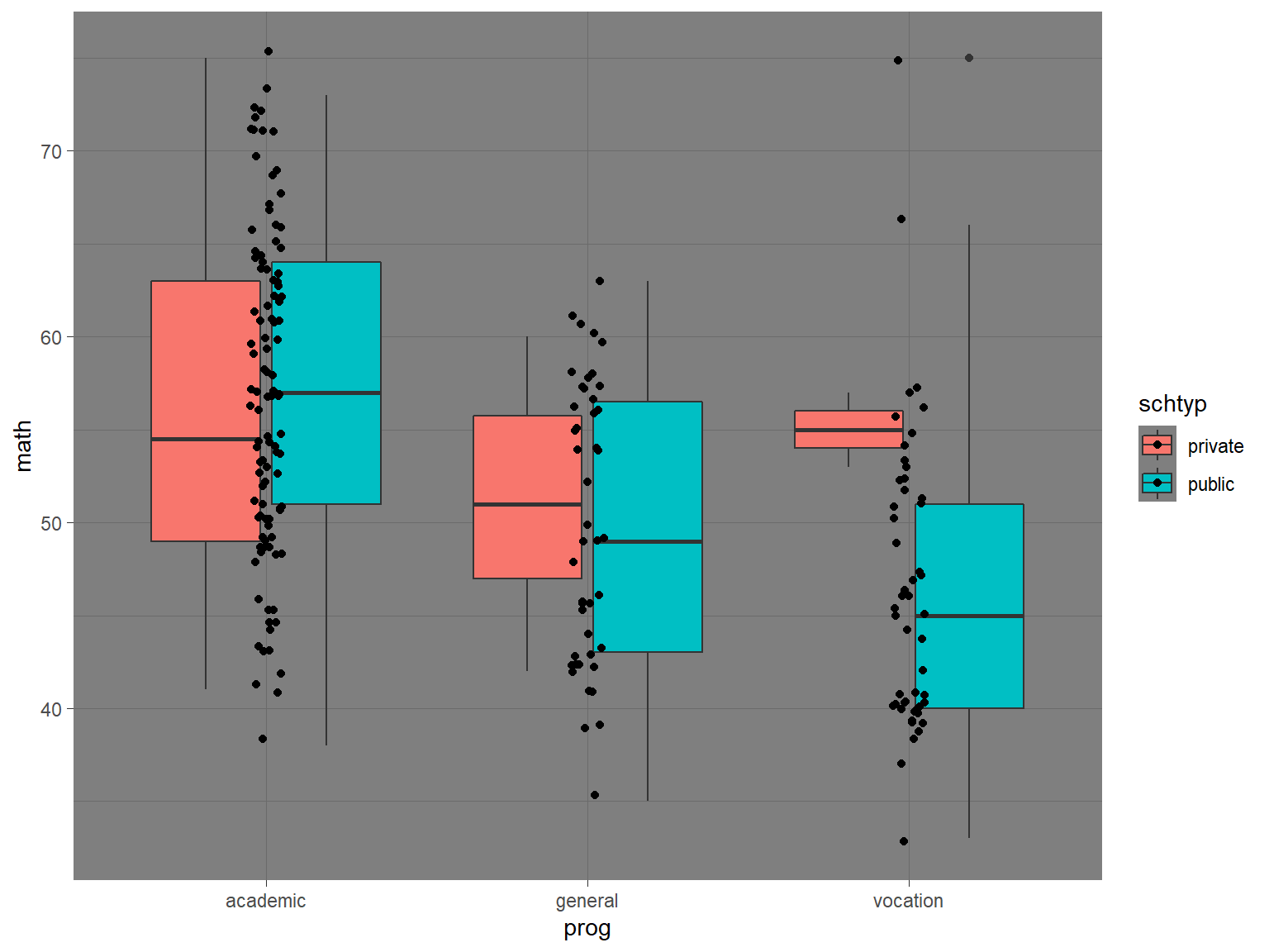
Next we’ll create separate boxplots by school type, by mapping schtyp to fill.
# boxplots of math by prog, with jittered data points
ggplot(data=dat_csv, aes(x=prog, y=math, fill=schtyp)) +
geom_boxplot() +
geom_jitter(width=.05)
Fig 18b. Filled by schtyp
Like base R graphics, you have a great deal of control over the appearance of the graph with ready-made “themes” like theme_dark():
# boxplots of math by prog, with jittered data points, dark theme
ggplot(data=dat_csv, aes(x=prog, y=math, fill=schtyp)) +
geom_boxplot() +
geom_jitter(width=.05) +
theme_dark()
Dark theme
Or you can manually specify everything in theme():
# boxplots of math by prog, with jittered data points, customized appearance
ggplot(data=dat_csv, aes(x=prog, y=math, fill=schtyp)) +
geom_boxplot() +
geom_jitter(width=.05) +
theme(panel.background=element_blank(), # removes graph background color
panel.grid=element_blank(), # removes grid lines
axis.ticks = element_blank(), # removes axis ticks
text=element_text(family="serif")) # changes font
Fig 18e. Customized appearance
Use ggplot2 to make a scatter plot of
read(x-axis) vswrite(y-axis) from data setdat_csv. Color the dots byses.
Now add a best fit line withgeom_smooth(). Why are there 3 lines?
R Markdown allows users to create reproducible documents that weave narrative text together with R code and the output it produces when executed.
One of R Markdown’s great strengths is the variety of output documents it can produce such as HTML webpages, LaTeX documents, and Word documents.
These documents are dynamically generated – whenever we need to change code or data, we can simply update the R Markdown file, compile it, and the output will be automatically updated in the resulting docuemnt.
These documents can then be shared with an audience to provide the most up-to-date content.
For example, this slide-show was entirely produced in R Markdown. When R Markdown encounters the following code block in the file used to create this slide-show, RMarkdown embeds both the code block itself and the output (a graph) into the slide show:
barplot(HairEyeColor[,,1],
col=c("#4d4d4d", "#bf812d", "#f4a582", "#f6e8c3"),
legend.text=TRUE, xlab="Eye Color",
args.legend=list(title="Hair Color"))
We can open a new Markdown file template through the File menu in RStudio.
A. Choose
File->New File->R Markdown...
B. Fill theTitlefield andAuthorfields with “Practice” and your name, respectively.
C. In the left menu, selectDocument, and forDefault Output Formatselect optionHTML(these are the defaults).
D. Click OK
R Markdown files typically use the extension .Rmd or .rmd
R Markdown files consist of 3 elements:
--- at the top; determines document type and overall appearance## and ** used to format textOnce we are pleased with its contents, we can compile the R Markdown file and render it into its final output format by clicking the Knit button.
Click the
Knitbutton on your R Markdown document. Save the file with the namemyfirst.rmd. Observe how each element in the R Markdown file becomes an element in the output document. Note: IfRtells you that you need to install some packages before knitting, you must install the packages forRto output the documents.
Markdown is a lightweight markup language, which is a system of code tags used to format documents. Tags are used to define sections, change the appearance of text, build tables, link images, and so on.
Hypertext Markup Language (HTML) is a markup language designed to be used for web pages. The placement and appearance of text, images, frames, tables, and other elements can all be specified in HTML.
Markdown was originally designed to be a shorthand for HTML. For example in HTML, to italicize text, you enclose it in <em> </em>. In Markdown, you just enclose it in * *.
Some important Markdown tags:
*italics* produces italics**bold** produces bold~~strikethrough~~ produces `code` produces codetext^super^ produces textsupertext~sub~ produces textsubDo not insert spaces in between formatting tags and the text.
Identify which text in your .rmd file has been formatted with Markdown tags.
Try changing the bolded word to italics.
The Markdown tag # is used for section header. To treat text as a header, place one to six # tags at the beginning of the header text. The number of # signs indicate the level of the header (higher levels will be displayed in larger fonts).
Headers should be preceded by a blank line, and there should be a space between the # tags and the header text
Add a level 4 header to the document called “Header 4”, knit the document, and compare its size to the other 2 headers.
For R Markdown files, R code is placed in code chunks that can be interleaved with the text of the document. All of the code chunks execute sequentially in one session when the .rmd file is rendered, so objects created in one chunk are available to all subsequent chunks.
R Markdown actually uses the package knitr to process the R code chunks.
A large array of knitr options allows some control over the appearance of R code, text output and graphical output in the final document.
R code chunks are delimited by ```{r chunk_label, options} at the beginning and ``` at the end. The chunk_label and options are indeed optional and are separated by commas (much more on this soon). You can type out the tags, or use the shortcut Ctrl + Alt + I (Cmd + Option + I on Macs), or use the Insert button at the top right of the script editor (will appear if the file extension is .rmd).
Add an R code chunk using the keyboard shortcut or the Insert button to your R Markdown file. Inside the chunk, create a histogram of the variable
speedin the data setcarsthat is automatically loaded withR.
R Markdown (via knitr) allows a great deal of control over R code chunk output via the knitr chunk options.
For example, we can suppress the output histogram with the option eval=FALSE and suppress printing of the code chunk with echo=FALSE. Place the option in the chunk header, inside ```{.r }
Add
eval=FALSEto the chunk you just created and observe the results.
Now addecho=FALSEto the same chunk, separated by a comma.
knitr provides many options to control the appearance of graphics, with options like fig.width= and fig.height=.
Remove
eval=FALSEandecho=FALSEfrom your latest chunk. Addfig.width=3, separated by a comma, and observe the results.
The YAML header controls the overall appearance of the document, including the document type. It is located between the --- at the top of the document.
The YAML (Yet Another Markup Language) header works with a program called pandoc, that can translate code tags between different document types.
The default document type is an html_document, which are typically webpages. Other document types include:
In the YAML header of your R Markdown file, change the
output:toword_document.
Now changeoutput:toslidy_presentation.
If you have LaTeX installed on your computer, you can change theoutput:topdf_document.
The shiny package is used to create interactive apps as webpages or even embedded in an RMarkdown document.
With shiny, you program the code for a graphical interface that allows the user to harness R’s data visualization and analysis tools to interact with data.
You will need a computer actively running R to use the app:
R runningR shiny appsFortunately, creation of web apps with shiny does not require advanced web programming skills.
Learning the syntax of a shiny app is beyond the scope of this presentation, but we can see its potential with a few of the example apps that come with the pacakage.
Load the
shinylibrary into your current R session withlibrary().
The first and simplest shiny example demonstrates the interactivity of a shiny app:
Issue
runExample("01_hello")in theRStudioconsole
Move the slider back and forth and observe how the graph changes reactively with user input.
At the bottom of the app, we see the code used to generate the app.
While you are running a shiny app in an R session, you will not be able to use R. To close the app and enable R to be used, hit Esc, click the stop sign in the RStudio console, or use the X at the top right of the app interface.
The second example features a more complex app with tabs.
Issue
runExample("06_tabsets")in theRStudioconsole
Each tab runs a different function on the (randomly-generated) data, the first runs hist(), the second summary(), and the third print() (implicitly).
The example also features radio-button inputs
OUr third example showcases shiny’s wide-ranging functionality.
Issue
runExample("10_download")in theRStudioconsole.
With shiny running on a dedicated server, users can download your data or whatever objects you make available.
For more inspiration take a look at some publicly available apps at the Shiny Gallery.
RThere is an extensive list of books on R maintained at http://www.r-project.org/doc/bib/R-books.html.